Herobanner showing a vacuum robot

Bonding And Gluing Plastic: Find The Right Solution For Your Challenge

Designing with plastics.

GET IN TOUCH WITH US

Typical plastic adhesives applications

Bonding is of interest to many industries, including automotive engineering, plastics processing, the construction industry, mechanical engineering, the packaging industry, medical technology and consumer industries. Here, gluing not only replaces welding, riveting, screwing and soldering, but also enables new material combinations. It's particularly useful when screws and rivets weaken the fibre composite or when welding and soldering brings too much heat into the material.

At the same time, it's possible to use adhesive techniques to integrate properties into the component that go beyond the actual joining, such as insulation resistance to electrical potentials, sealing against gases and liquids, damping of vibrations, protection against corrosion and compensation of different joining part dynamics.

  • Fixation of plastic parts

    Plastic parts are often fixed with the help of adhesives to prevent them from slipping during further processing. Acrylate-based adhesives adhere particularly well to many plastics. Acrylates have the advantage that they cure quickly under UV light.

  • Gluing plastic housings and moulded parts

    Classically, plastic sheets are bonded on butt joints or with bevelled edges. With special adhesives it's also possible to bond laser-cut edges without stress cracks. Large-area bonding of plastic sheets, on the other hand, can only be achieved with very soft and elastic adhesives. Many of these adhesives are particularly transparent. Therefore, the adhesive joint seems to disappear after the bonding. Bump edges or mitre angles seem to be produced from one piece and are no longer recognisable to the observer as a glued joint.

  • Casting of plastic components

    In many applications, individual plastic components are manufactured and bonded. Depending on the application, different adhesives and casting compounds are available. Acrylates have a tension-equalising effect and protect against shock and vibration loads. Solid casting compounds strengthen the components and have a load-bearing effect.

  • Bonding GFK/CFK

    With fibre-reinforced plastics, gluing is often the only sensible joining method because mechanical processes can destroy the fibres at certain points. In combination with other materials, adhesives can compensate for the different expansion coefficients well. This is an important factor especially in vehicle construction. Release agents are generally used in the production of fibre-reinforced mouldings. These must be removed thoroughly before bonding.


Materials Science of Plastics

The adhesive properties depend on the respective plastics, which are divided into three groups:

Thermoplastics

  • Polyethylene (PE)

    PE (polyethylene) is the most widely used thermoplastic in the world. PE is used to make plastic bags, beer crates, tubes, buckets, bottles, cling film and seals. PE is tasteless, odourless and physiologically harmless as well as resistant to acids, alkalis, salt solutions, fats and oils. Foils are usually made of the softer high-pressure polyethylene, whereas tableware is made of the harder low-pressure polyethylene with a melting range of 125 to 130 °C.

    Trade names: Hostalen, Dyneema, Spectra, etc.

  • Polypropylene (PP)

    PP (polypropylene) is the second most commonly used thermoplastic material, which is used e.g. for food packaging, home textiles, fittings and piping, technical housings, helmets and medical products. More than one third of synthetic fibres are made of PP. Polypropylene has more favourable properties than polyethylene, it is stiffer and has a higher melting range of about 165 °C. This gives it a wider range of applications.

  • Polyvinyl chloride (PVC)

    PVC (polyvinyl chloride) is a plastic containing halogen, which is used for drainage pipes, cable sheathing, hoses, floor coverings, window profiles, etc. A distinction is made between hard and soft PVC. In order to achieve favourable usage properties, PVC, unlike other polymers, requires the addition of many additives such as stabilisers, lubricants, plasticisers and others.

    Trade names: Hostalit, Vinnol, colloquial: e.g. artificial leather

  • Polyamides (PA)

    PA (polyamides) are high-strength and impact resistant. They have a high abrasion and wear resistance. Excellent sliding properties make them a preferred construction material in mechanical engineering or vehicle construction for slide bearings, gear wheels, dowels, screws and nuts or housings. Polyamides are insensitive to fuels and lubricants at temperatures up to 150 °C. A large proportion of polyamides are spun as synthetic fibres. The fibres have a high tensile strength and are used for textiles, climbing ropes, parachutes and hawsers, among other things.

    Trade names: Perlon, Nylon, Dralon, etc.

  • Polystyrene (PS)

    PS (polystyrene) is mainly produced as amorphous thermoplastic. It has low moisture absorption, very good electrical properties and can be processed well. Disadvantages are its tendency to stress cracking, low heat resistance, flammability and its sensitivity to organic solvents. If polystyrene is foamed with carbon dioxide during polymerisation, polystyrene is formed. Areas of application are thermal and perimeter insulation materials, sound insulation, packaging, insulation cases, CD covers, insulation of electrical cables and material for switches.

    Trade names: Styropor, Styroform and others

  • Polyethylene terephthalate (PET)

    PET (polyethylene terephthalate) is known as a glass substitute in beverage bottles, in filling fibres and as fibres for clothing. In electrical engineering, PET films are used as carrier material for magnetic tapes. PET has high stiffness, hardness, abrasion resistance and is resistant to diluted acids, oils, fats and alcohols. However, it is sensitive to hot steam.

  • Polymethyl methacrylate (PMMA)

    PMMA (polymethyl methacrylate) has intertwined polymer chains. It's very weather-resistant and can be used as a substitute for glass. Optical lenses and spectacle lenses, glazing, lamps and sanitary parts are made from PMMA. It's indispensable in dentistry, where it's used for dentures. For this purpose, the plastic is dyed with metal salts to create the typical pink colour. The applications are manifold. For example, PMMA can be used for polymer concrete, glazing, lenses, optical fibres, bathtubs, light covers and adhesives.

    Trade names: acrylic glass, plexiglass

  • Acrylonitrile-butadiene-styrene copolymer (ABS)

    ABS (acrylonitrile-butadiene-styrene copolymer) is today an everyday plastic which is widely used because of its surface hardness, high impact resistance and good resistance to weathering, ageing and chemicals: For example, for sanitary pipes or housings of household and electrical appliances as well as for toys, plates and foils.

    Trade names: Cycolac, Novodur, etc., colloquially e.g. styrenics

  • Styrene-acrylonitrile copolymer (SAN)

    SAN (styrene-acrylonitrile copolymer) is a transparent copolymer of two transparent plastics: Formed by the copolymerisation of styrene (about 70%) and SAN acrylonitrile monomers (about 30%). This high-performance thermoplastic polymer is often used as a material for greenhouse or industrial glazing and shower cabins due to its weather resistance, rigidity, toughness and scratch resistance.

  • Polytetrafluoroethylene (PTFE)

    PTFE (polytetrafluoroethylene) has high chemical inertia, a high dielectric constant, a flame-retardant effect, thermal resistance up to 260 °C, extremely low friction, non-stick properties and high weather resistance. Technically, PTFE is used for bearings and seals in aerospace and mechanical engineering, cable coatings in telecommunications, as a fire protection agent in vehicles and buildings and for coating cookware.

    Trade names: Gore-Tex, Dyneon

  • Polyoxymethylene (POM)

    POM (polyoxymethylene) is one of the most commonly used thermoplastics worldwide. It's valued for its high impact resistance, strength, hardness and rigidity. Due to its low coefficient of friction, high heat deformation resistance, excellent sliding and abrasion behaviour in combination with low coefficients of friction, the material is often used as an engineering plastic - primarily for precision parts such as gears, shafts, switch gears, etc. The high recovery elasticity of polyoxymethylene makes the plastic useful for applications in the field of snap-fit connections.

    POM thermoplastics are resistant to diluted alkalis or acids (pH > 4) as well as halogenated, aromatic and aliphatic hydrocarbons, oils and alcohols.

  • Polycarbonate (PC)

    PC (polycarbonate) is a polyester of carbonic acid. This water-clear, thermoplastic material is characterised above all by its glass-like optical properties, but weighs less than glass. The material is therefore often used for lightweight construction purposes, such as panorama roofs or transparent covers for buildings.


Duroplastics

Thermosets are plastics which are closely networked during processing. This cross-linking takes place chemically between the molecules of the starting materials. The process is no longer reversible. Once such a material has cross-linked, it can only be processed mechanically. Duroplastics are usually hard and brittle.

  • Aminoplasts (UF)

    UF (Aminoplasts) are thermosets. They are hard and brittle and decompose when heated. Melamine resins, melamine-phenol resins and urea resins are thermosetting, spatially closely cross-linked moulding materials. The cross-linking points are chemical bonds, therefore thermosets have, in contrast to thermoplastics, higher strength, higher elasticity, higher hardness and higher thermal stability. By mixing different resins, multi-component materials are created which are used in furniture construction and for the production of sockets, household appliances and break-proof tableware.

  • Phenoplastics (PF)

    PF (phenoplastics) are thermosetting, spatially closely cross-linked moulding materials. Phenoplastics are polycondensates of phenols (partly also cresols) and formaldehyde, they're inexpensive and used mainly for technical mouldings despite their dark inherent colour and darkening.


Elastomers

  • Natural rubber (NR)

    NR (natural rubber) consists of latex, the latex of the rubber tree.

  • Acrylonitrile-butadiene rubber (NBR)

    NBR (acrylonitrile-butadiene rubber) has a high resistance to oils, fats and hydrocarbons as well as a high abrasion, tensile and tear resistance. NBR hardly charges itself electrostatically and therefore no sparking is to be feared, which is why the material is often used for tank and petrol hoses. NBR is classified as physiologically harmless and is therefore also used in drinking water and beverage production.

  • Styrene-butadiene rubber (SBR)

    SBR (styrene-butadiene rubber) is the most widely used synthetic rubber today and is used in the production of tyres, seals and conveyor belts.

  • Butadiene rubber (BR)

    BR (butadiene rubber) is the second most important synthetic rubber. It improves the properties of natural rubber.

  • Chloroprene rubber (CR)

    CR (chloroprene rubber) is a synthetic rubber which is used, among other things, in vehicle construction and for heat-insulating sportswear. Hoses, cable sheathings, seals and drive belts based on chloroprene rubber are often used in the automotive industry due to their favourable combinations of properties. Dissolved in organic solvents, polychloroprene, like the polymer dispersion itself, is also suitable for various adhesives due to its good resistance. The worldwide consumption of chloroprene rubber including adhesives is estimated at over 300,000 tonnes per year.

    Trade name: Neoprene

  • Ethylene propylene diene rubber (EPDM)

    EPDM (ethylene propylene diene rubber) is used for sealing profiles. In contrast to NBR, EPDM has very good electrical insulation properties, excellent resistance to ozone and sunlight, and outstanding resistance to ageing.

  • Silicones:

    Silicones - chemically more precisely known as poly(organo)siloxanes or siloxane - are synthetic polymers whose silicon atoms are connected via oxygen atoms (Si-O-Si). They occupy an intermediate position between organic and inorganic compounds. At present well over 10,000 different types of silicone are known. Silicone rubbers are differentiated according to the temperature required for cross-linking.

    The cold-crosslinking HTV silicone rubbers are plastically deformable materials which are used, for example, as cable sheathing, for electrical insulation or for sealing and damping purposes.

    The flowable, red silicone rubber (RTB/HB) has a high heat resistance and low elasticity. They are used as mould construction material for casting moulds for low-melting metals where high hardness is required.

    In contrast, the low-viscosity, hot-crosslinked silicone rubber (RTV/NV) is medium-elastic, has good flowability and low viscosity. It is therefore particularly suitable for the manufacture of elastic wax or relief casting moulds, casting moulds for figures or decorative panels, moulds for casting with epoxy / casting resin, cement, plaster or other flowable materials.

    The highly elastic silicone rubber (RTV/HE) is a quite flowable silicone rubber with very high elasticity and at the same time low viscosity. It is particularly suitable for the production of filigree elastic forms with pronounced undercuts. Fields of application are relief casting moulds or moulds for strongly structured decorative panels or wall elements.

  • Foam materials:

    Basically almost all plastics are suitable for foaming, e.g. polyurethane (PUR hard/soft foam), polypropylene, expanded polyurethane (EPP), expanded polystyrene (EPS), expanded polypropylene (EPE). The properties can be determined by the selection of the raw materials. For example, strongly cross-linked rigid foams are produced when short-chain polyols are used, whereas soft to elastic foams are produced with long-chain polyols.

    Most foams are produced by means of foam extrusion: the heated plastic expands to 20 to 50 times its volume as it flows out of a perforated nozzle. Rotating knives then cut the resulting foam strands into closed-cell foam particles of a few millimetres in size, from which various products are formed.

  • Fibre-reinforced plastics:

    Fibre-reinforced composites are mixed or multi-phase materials consisting mainly of reinforcing fibres (e.g. glass, carbon, polymers or ceramics) and a matrix (plastic, synthetic resins) surrounding them. Depending on the area of application, different additives and fillers are added. This makes components made of composite materials more stable and resilient than those made of monocomponent materials, while maintaining the same weight.

    This is why composites are often used for lightweight construction applications. The aircraft and vehicle industry, wind power plants and chemical tanks are the main areas of application for fibre-reinforced plastics.

    GRP glass fibres are also the most widely used fibre types due to their relatively low price, with a share of over 90%. Depending on the application, the length of typical reinforcement glass fibres is between 10 and 300 µm. Fibres over 1 mm long are already considered long in the field of plastics processing.


Surface energy for gluing plastic

In principle, good adhesion is achieved on materials with high surface energy - such as steel, glass and ceramics etc. The basic prerequisite for a good bond is sufficient wetting of the surface. For this, the surface tension of the substrate must be greater than that of the adhesive.

Bonds on some low-energy plastics such as polyolefins (PP, PE and PTFE) and silicone-containing joining partners are critical, however. High-energy (polar) surfaces offer the adhesive better adhesion than low-energy (non-polar) surfaces.

The wettability of plastics can be assessed quickly and easily by means of a drop of water applied to the surface. If a drop of water forms, the surface is low-energy. If, on the other hand, the water droplet runs off, the surface is a high-energy surface. For a closer look at wettability, test inks are used and the contact angle of the drop is measured (measuring methods according to DIN 53 364 or ASTM D 2578-84).

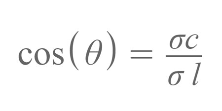
  • Young's equation
    Young's equation

    For bonding plastic surfaces, the measured contact angle should be as small as possible. The Young's equation applies.

  • Young's equation (2)
    Young's equation (2)

    The contact angle q of the liquid drop depends on the surface energy of the liquid sl and the plastic surface ss.

    The energy of the interface between liquid and plastic surface is ssl.

  • Young's equation (3)
    Young's equation (3)

    By summing up the counter of the formula one obtains the critical surface energy sc.


Herobanner showing a contact us icon on a purple banner

How can we help?

Let's work together! 3M products are constantly evolving to better meet customer needs. If you need help finding the right product for your project or have other questions about 3M solutions:

GET IN TOUCH WITH US

Critical surface energy


The right surface treatment is what counts

  • The surfaces of many plastics offer a very poor adhesion base for bonding when untreated. This places high demands on the pre-treatment. Therefore, the plastics should be dry, free of dust and grease and, in addition to cleaning, they should also be specifically activated on the joining surface in order to achieve sufficient adhesion. Cleaned surfaces are highly active and should therefore be bonded immediately or preserved in this state by means of bonding agents. For most processes, extensive safety regulations have to be observed and when pretreating plastics, however, care should be taken to ensure that they are not attacked by the cleaning agent.

    Cleaning and degreasing the plastic surface of loosely adhering dust, oil, grease and separating and processing agents with water or solvents - this does not change the structure of the surface. Cleaning can be carried out by immersion or spraying. Degreasing is done with organic solvents or by pre-drying in the oven.

    Mechanical pretreatment by brushing, grinding, sanding or sandblasting - this changes the roughness and the size of the surface area effective for the bond. At the same time, loosely adhering reaction products, polishing and sliding agents and stabilisers are removed.

    Chemical pretreatment is done by etching or pickling with acidic or alkaline substances. In the process, a new structural boundary layer with a significantly higher polarity is formed by oxidation or phosphating. With wet chemical pre-treatment, for example with chromosulphuric acid, components of any design can be treated.

    Physical surface treatment processes use high-energy electron, laser or UV radiation in this process or thermal processes such as flame treatment or electrical plasma or corona processes. They change the surface chemically and physically. When flaming plastics, an open flame is guided over the surface of the part to be joined at a defined distance and speed. The flame can be used in a reducing or oxidising manner, depending on the type of plastic to be flamed. This makes the component surface more energetic and easier to bond. By adding chemically reactive substances, the surface can be influenced even further.

    To increase the surface energy, the surfaces can also be coated. This can be done both with metals, as in galvanising, and with adhesion promoters such as primers or activators. Like adhesives, adhesion promoters are chemically reactive substances, so that the application instructions such as flash-off times, pot life, expiry date, etc. must be followed exactly. Adhesion promoters are used in cases where bonding only with the adhesive has not produced the required results.


  • 1- and 2-component construction adhesives are suitable as adhesives due to their special suitability for low-energy plastics such as PE, PP etc
    ##discLink1##

  • Plastic components are often fixed with the aid of adhesives to prevent them from slipping during further process handling. Acrylate-based adhesives in particular usually adhere very well to many plastics. They have a strengthening and supporting effect for load transfer and stress reduction. Acrylic adhesives, which are also used for permanent bonding, are characterised by short processing times and high strength to many plastics and elastomers. These adhesives achieve, for example, as 2-component adhesives on low-energy plastics such as PC, PMMA, PVC etc., good shear and peel strengths as well as good impact strength under dynamic loads. From the 3M Scotch-Weld series, even acrylic adhesives have been developed in the meantime, which provide good results on difficult to bond plastics with low surface energy without any surface preparation or primer.

    Especially fast UV- or LED-curing adhesives based on acrylates are suitable for short process times and thus for high production quantities. Even in deep layers, optimal curing is guaranteed. A prerequisite here, however, is that the plastics are transparent and not UV-blocked. Today, adapted photoinitiators and suitable radiation sources even permit curing through UV-blocked plastics. Dual-cure adhesives are also used for particularly thick layers of adhesive, or the layers are cured with longer-wave light (around 405 nm LEDs). In this way, even adhesive layers up to several millimetres deep can be cured.

    If undercuts or shadow zones occur during bonding, dual-curing adhesive systems are often used which are thermally post-cured after UV irradiation. For non-transparent substrates, epoxy resin-based adhesives are used which can be cured thermally or at room temperature. Two-component high-performance construction adhesives based on epoxy resin are used, for example, in automotive and aircraft construction, where they achieve high structural strength at room temperature, even on low-energy surfaces such as plastics.


Glue plastics with adhesive tapes

  • Double-sided acrylate foam adhesive tapes for a wide range of applications are available on the market. They're made of closed-cell acrylate adhesive for demanding material combinations or critical plastics with low surface energy such as PE or PP. These are able to absorb forces well and are therefore permanently resistant to tensile, shear, splitting and peeling forces. They're suitable, for example, for car mirror bonding or for the bonding of mouldings and decorative trim.

    Acrylic foam tapes, whose adaptable acrylic foam absorbs tension, dampen vibrations and compensate for different, material-dependent temperature expansions. These are suitable for metal/plastic bonding and are used in automotive applications, for example, for bonding decorative and side protection strips, plastic cladding, reflectors and mirror glass.

    Rubber-based adhesive tapes also offer good bonding strength on critical substrates with good initial tack and the possibility of redetachability, e.g. when bonding PP or PE.


Bonding plastics: New developments

We recently launched an adhesive tape on the market that allows the attachment of add-on parts such as parking sensors without the need for surface pretreatment on medium energy plastic surfaces. The double-sided Acrylic Plus Tape also offers good adhesion to modern, difficult-to-adhesive automotive paints.

  • Double-sided Acrylic Plus Tape

    Double-sided Acrylic Plus Tape

    • A new joining process called Onsert has been developed especially for composite materials such as CFRP/GFRP substrates, but it's also suitable for thin sheet metal and classic plastics. In automotive production, a light-curing adhesive is applied to a flexible connecting element, an adhesive bolt, which is then joined to the workpiece. The adhesive then cures within seconds using LED lamps. In the production of the i3 and i8, BMW achieves cycle times of just four seconds thanks to Onsert, after which a thread, for example, can be loaded immediately. This results in stable connections that can be released again, which is important for the reparability of CFRP components.

      But structural damage to the new CFRP aircraft can now also be repaired by bonding: Lufthansa Technik has developed a new type of repair method here as part of the "Rapid Repair" research project: A milling robot cleanly mills out the damaged area (on a wing, for example) and a precisely fitting repair part is inserted with an adhesive film. Under vacuum and using a heating mat, the repair patch hardens and can be repainted. Afterwards there will be no more visible signs of the repair. Advantage: No holes need to be drilled which could destroy the sensitive fibre structure.

      View Double-side Acrylic Plus Tape product features (PDF, 1MB)


Use of adhesives

  • When selecting an adhesive, one should consider what the bond must be able to withstand and what stresses the component will be exposed to in use. These are the questions about mechanical, dynamic and static loads, the temperature range, the influence of moisture, other chemical substances or UV radiation. At the same time, the list of requirements should include information on the parts to be joined, the production conditions, specifications for occupational safety and environmental protection, information on long-term resistance and quality assurance, as well as the selected test procedures and costs.

    With this information, the adhesive and surface treatment can be selected based on technical data sheets, experience and the literature. If it is important, adhesive samples should be made and tested before the adhesives are used. In mechanical testing, the bonded joint is loaded until it breaks. The type of fracture provides information about the quality of the bond and indicates where defects occurred during bonding. An adhesion fracture is when the adhesive detaches from the joined part. A cohesion fracture is a fracture in the adhesive itself and a fracture in the part to be joined describes a fracture outside the adhesive surface in the part to be joined.

    As a rule, a cohesion fracture or a fracture in the part to be joined can be regarded as a favourable indication of a high-quality bond, since in this case defects in the surface treatment can be largely ruled out. Adhesion fractures often indicate faulty surface pre-treatment, for example impurities, condensation, insufficient surface tension and corrosion. Ageing tests can also be carried out in a climatic chamber and the strength and deformability and their changes in the course of ageing can then be determined. With this knowledge, one can evaluate the stressability of a bond and select the most suitable adhesive for the application.


Gluing instructions

  • 1: ABS - acrylonitrile-butadiene-styrene is an everyday plastic that is widely used today because of its surface hardness, high impact strength and good resistance to weathering, ageing and chemicals. Unfortunately, the low-energy ABS cannot be glued completely without problems with common adhesives and usually this is only possible after a surface treatment with the solvent methyl isobutyl ketone. However, ABS with ABS can also be bonded with methyl ethyl ketone (MEK) / butanone and dichloromethane (methylene chloride). Optimum procedure: Clean bonding surfaces, dry. Apply one coat of adhesive to one or both sides and allow to flash off briefly before pressing together. Further information.

    2: GRP / CFRP - Fibre-reinforced composites are mixed or multiphase materials that essentially consist of two main components: the surrounding matrix (plastic, synthetic resins) and the reinforcing fibres (e.g. glass, carbon, polymers or ceramics). The fibre bundles are surrounded by the matrix like an elastically enclosed beam. In combination of these two components, this material obtains higher-quality properties than either of the two components involved individually. For the not entirely unproblematic joining of lightweight materials, numerous products have been developed on the market, including by 3M, which are perfectly suited for the efficient filling or joining of fibre composites, multi-material systems and low-energy plastics. Further information.

    3: Rubber or rubber-like materials are widely used in industry and everyday life: for example in seals and rollers, in vibration dampers or for footwear. In general, a whole range of different types of adhesives are suitable for bonding rubber. However, the optimum adhesive always depends heavily on the rubber compound and the intended use. Further information.

    4: Sponge rubber
    The term sponge rubber is mainly used to describe open-cell and elastic foams that have a closed, leak-proof outer skin. These are expanded by adding blowing gases made of natural rubber, chloroprene, acrylonitrile-butadiene rubber or similar synthetic rubbers and are classified as porous rubbers. During vulcanisation, the blowing agent inflates the compound and gives the thermoplastic elastomer permanent elasticity. Sponge rubber is generally considered to have poor to hardly any adhesion. Depending on the second material, only individual, special adhesives are available that enable usable bonding. Adhesions of sponge rubber to certain plastics such as polyolefins (polyethylene, polypropylene) or rubber are particularly critical. Further information.

    5: Foams are quite common in everyday life: They are used in everything from upholstery and mattresses to insulation materials. They are based on a wide range of plastics as raw materials. However, not every adhesive is suitable for every material. In view of the wide range of variants, it can therefore be useful to always test how the adhesive behaves on small samples of the material beforehand. Further information.

    6: Silicones, with their low-energy, extremely repellent surfaces, are considered to be difficult or almost impossible to bond. Among the few adhesive products that show usable results here are, for example, new types of silicone transfer adhesives that, in combination with adhesive tapes, even enable efficient automation of series production processes - for example in the automotive sector. Further information.

  • Bonding thermoplastics

    1: PET - polyethylene terephthalate - is used in a large number of technical products, for example for components with complex contours and narrow tolerances. PET is one of the plastics that can only be bonded very poorly or not at all. In order to achieve improvements here, it's advisable to activate the surfaces of this plastic with physical and/or chemical processes so that they can be bonded. Further information.

    2: PA - polyamide is high-strength and impact-resistant. Its abrasion and wear resistance combined with excellent sliding properties make it a preferred construction material in machine or vehicle construction. Because of its high mechanical strength, it has now even displaced many metal components in vehicle construction - sometimes reinforced with carbon or glass fibres. But PA is not easy to bond. High bond strengths of PA materials require the use of special pre-treatment methods or specially developed, reactive adhesives. Further information.

    3: PMMA - polymethyl methacrylate, also known as Plexiglas and acrylic glass, impresses with its optical and surface properties. In everyday life, corrugated sheets, for example for the roofing of garden arbours or pergolas, are often mistakenly offered as plexiglass. In reality, they are made of polycarbonate or PVC, which can make a big difference when bonding the material. The same applies to so-called hobby glass from the DIY store. For bonding on low-energy plastics such as PMMA, the surface energy is of central importance. However, caution is advised when using certain solvents for bonding preparation. Otherwise, there is a wide range of high-performance adhesives on the market for efficiently bonding PMMA to numerous other materials. Further information.

    4: POM - Polyoxymethylene is one of the most frequently used engineering plastics due to its excellent sliding and wear behaviour. With its outstanding mechanical properties, POM bridges the gap to the more expensive metallic materials, often replaces them and is therefore one of the preferred construction materials, e.g. for precision mechanical parts. Normally, bonding is only possible after surface pre-treatment by flame treatment, etching with primer, corona or low-pressure plasma. Modern, high-performance adhesives, however, can do without this. Further information.

    5: PS - polystyrene is one of the most common mass plastics in everyday life. It can be found in food packaging / cans or CD cases as well as in power sockets. As a solvent-soluble and polar plastic, polystyrene is in principle rather easy to bond, but the choice of adhesive and adhesive process always depends on the second material with which PS is to be bonded. Further information Rigid foam insulation boards made of open-pore expanded polystyrene (EPS or Styropor) are most commonly used today for façade insulation within a composite thermal insulation system (ETICS). Further information.

    6: PP - Polyethylene has become an indispensable part of everyday life. It can be found in pipes, rain barrels, dishwashers and a multitude of industrial components, among other things. However, bonding the material is not without problems due to its repellent surface properties. However, efficient adhesive systems on the market today offer practicable solutions for this. Further information.

    7: PTFE - Polytetraflourethylene
    Due to its chemical inertness and resistance to all acids, bases, alcohols, benzines, ketones, oils, etc., polytetrafluoroethylene is often used as a coating when dealing with aggressive chemicals - for example, as a lining material for chemical apparatus, containers, valves, taps, pumps, filter bodies, columns and pipelines. The anti-adhesive behaviour of polytetrafluoroethylene is pronounced, i.e. other, even sticky substances do not adhere to its surface and it is not wetted by liquids. For this reason, the thermoplastic is still considered to be difficult or almost impossible to bond. But in the meantime, after special surface pre-treatment with modern adhesives, good results can be achieved. Further information.

    8: SAN - Styrene acrylonitrile
    The transparent plastic SAN from the group of styrene-based plastics is often used as a material for greenhouse or industrial glazing as well as shower cabins because of its weather resistance, rigidity and scratch resistance. Depending on the requirements, a wide range of high-performance adhesives is suitable for material bonding. Further information.

    9: PC - Polycarbonate
    The water-clear plastic is characterised above all by its glass-like optical properties. The special advantage, however, is its lower weight compared to glass. This is why the material is often used for lightweight construction purposes, such as panoramic roofs or transparent covers for buildings. Although the solvent-soluble plastic is generally considered to be easy to bond, it reacts sensitively. As a result, stress cracks can occur. When choosing an adhesive, it's also important to ensure that the optical properties are not too impaired. Further information.

Close  

GET IN TOUCH WITH US

Thank you for your request to 3M. The information you provide on this form will be used to respond to your request through email or telephone by a 3M representative or by one of our authorised business partners with whom we might share your personal information consistent with the 3M privacy policy.